Media
HKU physicist joins international effort to unveil the behaviour of "strange metals"
18 Oct 2020
The lattice model of ferromagnetic Non-Fermi-Liquid (left) and its phase diagram (right) obtained from large scale quantum Monte Carlo simulations by Dr Xu and Dr Meng.
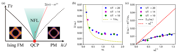
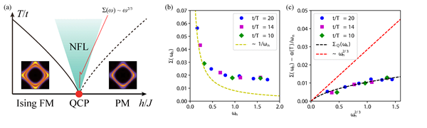
(a) Schematic phase diagram of ferromagnetic NFL, with the expected power-law behave in self-energy. (b) Self-energy calculated from quantum Monte Carlo simulation. It appears to have a slow diverging form. (c) NFL self-energy revealed after deduction of the thermal contribution. The black dashed line shows the theoretical prediction of zero-temperature NFL self-energy, while the red dashed line marks the low-frequency power-law form.
The Landau’s theory of Fermi liquid (FL) (Note 1), established in the first half of the 20th century, is the foundation of the scientific and industrial usage of the metallic materials in our society. It is also the basis of our current understanding of metals. However, in the second half of the 20th century, more and more metallic materials were discovered which behave very differently. The non-Fermi liquid (NFL) behaviour of these “strange metals” remains a puzzle to physicists, and there is no established theory to explain them.
Recently, a joint research team comprising members including Dr Zi Yang MENG, Associate Professor of Department of Physics at the University of Hong Kong (HKU), Dr Avraham KLEIN and Professor Andrey CHUBUKOV from the University of Minnesota, Dr Kai SUN, Associate Professor from the University of Michigan, and Dr Xiao Yan XU from the University of California at San Diego, has solved the puzzle of the NFL behaviour in interacting electrons systems, and provided a protocol for the establishment of new paradigms in quantum metals, through quantum many-body computation and analytical calculations. The findings have recently been published in Npj Quantum Materials. The work was supported by the Research Grants Council of HKSAR, and the Ministry of Science and Technology of China.
Breaking discoveries of mysterious NFL behaviour
The Landau’s theory of Fermi liquid (FL) successfully explained many features of simple metals like Copper, Silver, Gold and Iron, such as when temperature changes, their resistivity, heat capacity and other properties follow simple function form with respect to temperature T (for example, resistivity follows ρ~T2 and heat capacity follows C~T, independent of material details). The success of the Fermi liquid theory lies in the central assumption that the electrons, the droplets in the Fermi liquid are not interacting with each other, but behave identically in the material.
However, many metallic materials which were discovered after FL was established, do NOT behave as FL. For example, in the so-called high-temperature superconductor compounds - copper oxides and iron pnictides - their resistivities are linear in temperature ρ~T before the system becomes superconducting (resistivity is then zero), and such systems are in general dubbed Non-Fermi-Liquids (NFL). Different from the simple FL, the electrons of NFL, the droplets, strongly interact with each other.
NFLs have potential application in solving the energy crisis
The physicists still do not have much clue about NFL, which makes it very difficult to make concrete predictions. Still, these systems are essential for the continued prosperity of human society, as NFLs hold the key in making use of high-temperature superconducting material that will solve the energy crisis. Currently, the so-called high-temperature superconducting materials still only work at temperature scale of-100 Celsius - they are called high-temperature in comparison with the FL superconductors, which work at temperature scale of -200 Celsius - so it is still hard to put high-temperature superconductors into daily usage at room temperature, but only then can we enjoy the nice properties of such material that the electronic power will not be loss in heat due to resistivity. Only when we understand how the NFL in high-temperature superconductor works at -100 Celsius, can we then design the ultimate material to work at room temperature. Therefore, the complete understanding of NFL is of vital importance.
Physicists from analytical background have been trying to understand NFL for about half a century. The problem of analytical calculation is that, due to the quantum many-body nature of the NFL, the convergence and accuracy of many theoretical predictions cannot be controlled or guaranteed; one would need unbiased quantum computation to verify these prepositions.
Key revelation to the puzzle is computation
At the numerical front, there have been many previous attempts, but the problem is that the results obtained are always different from the analytical prediction. For example, the most important quantity of the NFL, the self-energy Σ , which describes the level of the electron interactions in the material, is expected to have a power-law frequency dependence such as Σ~ω2/3in the model exhibited in Fig.1. However, the computed self-energy doesn’t follow such as power-law, it shows a slow diverging behaviour, that is the self-energy computed doesn’t go to zero as frequency is reduced, but instead gets larger and large, as the data in Fig.2 (b) indicated. Such difference makes the situation even more perplexing.
After a very inspirational discussion between Dr Meng, Professor Chubukov, and Dr Klein, they realized that the setting of the numerical simulation is actually different from that of the analytical calculation. Such subtlety comes from the fact that the model simulations are performed on the finite system at finite temperature, that is T≠0, whereas the analytical expectations are strictly at the zero temperature T=0. In other words, the numerical data actually contain both the zero temperature NFL contribution and the contribution from the fluctuations at finite temperature. To be able to reveal the NFL behaviour from the lattice model simulation such as the setting in Fig.1, one would need to deduce the finite temperature contribution.
This turns out to be the key revelation to the puzzle of NFL. Dr Klein, Dr Sun and Prof Chubukov derived the analytical form of the finite temperature contribution (with the input from the lattice model in Fig.1 designed by Dr Meng and Dr Xu) for Dr Meng and Dr Xu to employ and deduce from the numerical data, the results are shown as the black dashed line and the data round it in Fig. 2(c). To everyone’s surprise and ecstasy, the results after the deduction perfectly exhibit the expected NFL behaviour, from finite temperature all the way to zero temperature, the power-law is revealed. It is the first time that such clear NFL behaviour has been obtained from unbiased numerical simulation.
Bring a better future to the society
Dr Meng said it is expected that this work will inspire many follow-up theoretical and experimental researches, and in fact, promising results for further identification of NFL behaviour in another model system have been obtained by the further investigations, he said: “This research work reveals the puzzle of Non-Fermi-liquid for several decades and paves the avenue for the establishment of new paradigm of quantum metals beyond those more than half-a-century ago. Eventually, we will be able to understand the NFL materials such as high-temperature superconductors as we understand simple metals such as Cooper and Sliver now, and such new understanding will solve the energy crisis and bring better industrial and personal applications to the society.”
Link of the journal paper: https://www.nature.com/articles/s41535-020-00266-6
Images download and captions: https://www.scifac.hku.hk/press
For media enquiries, please contact Ms Casey To, External Relations Officer of HKU Faculty of Science (tel: 3917 4948; email: caseyto@hku.hk) or Ms Cindy Chan, Assistant Director of Communications (tel: 3917 5286; email: cindycst@hku.hk)
Note 1: Lev Landau is a Soviet physicist and among the founders of condensed matter physics. Enrico Fermi is an American-Italian physicist and one of the creators of the quantum mechanics.