Media
HKU physicists found signatures of highly entangled quantum matter
21 Jul 2022
A research team from the Department of Physics, The University of Hong Kong (HKU), discovered the clear evidence to characterise a highly entangled quantum matter—the quantum spin liquid (QSL) (a phase of matter that remains disordered even at very low temperatures) from large-scale simulations on supercomputers. This pivotal research work has recently been published in one of the leading journals in quantum materials—npj quantum materials.
QSLs were proposed by P. W. Anderson—the Nobel Physics Laureate of 1977—in 1973, which had the potential to be used in topological quantum computing to bring the computing power of computers to a new stage, and to help understand the mechanism of high temperature superconductors, that could greatly reduce the energy cost during electricity transport owing to the absence of electrical resistance in superconductors.
The QSL is termed a liquid due to its lack of conventional order in the matter. QSLs have a topological order that originates from long-range and strong quantum entanglement, while the detection of this topological order is a very tough task due to the lack of materials that can perfectly achieve the many model systems that scientists propose to find a topological order of QSL and prove its existence. Thus, there has not been firmly accepted concrete evidence showing QSLs exist in nature.
Under this context, Mr Jiarui ZHAO, Dr Bin-Bin CHEN, Dr Zheng YAN, and Dr Zi Yang MENG from HKU Department of Physics, successfully probed this topological order in a phase of the Kagome lattice quantum spin model, which is a two-dimensional lattice model with intrinsic quantum entanglement and proposed by scientists that have Z2 (a cyclic group of order 2) topological order, via a carefully designed numerical experiment on supercomputers. Their unambiguous results of topological entanglement entropy strongly suggest the existence of QSLs in highly entanglement quantum models from a numerical perspective.
‘Our work takes advantage of the superior computing power of modern supercomputers, and we use them to simulate a very complicated model which is thought to possess topological order. With our findings, physicists are more confident that QSLs should exist in nature,’ said Mr Jiarui Zhao, the first author of the journal paper and a PhD student at the Department of Physics.
‘Numerical simulations have been an important trend in scientific research of quantum materials. Our algorithms and computations could find more interesting and novel quantum matter and such efforts will surely contribute to the development of both practical quantum technology and the new paradigm in fundamental research.’ Dr Zi Yang Meng, Associate Professor in the Department of Physics remarked.
The research
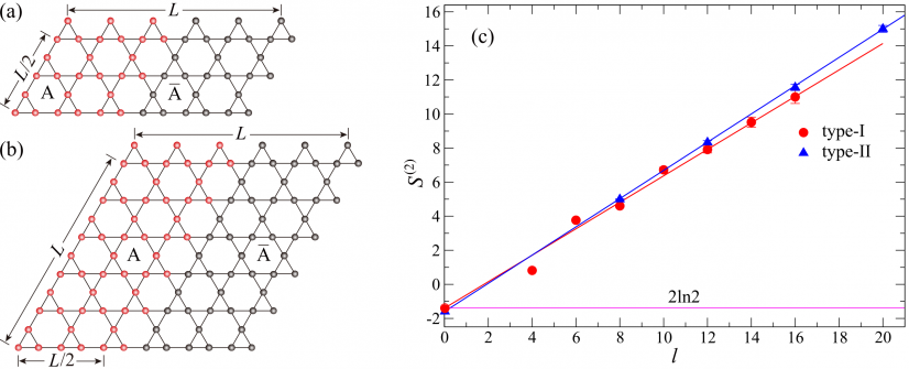
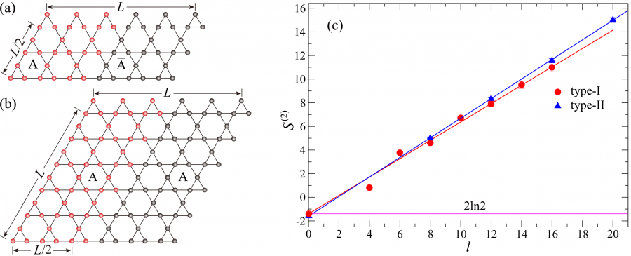
The team designed a numerical experiment on the Kagome spin model (Kagome is a two-dimentional lattice structure that shows a similar pattern to a traditional Japanese woven bamboo pattern in the shape of hexagonal latticework) in the proposed QSL phase, and the schematic plot of the experiment is illustrated in Figure 2. The entanglement entropy (S) of a system can be obtained by measuring the change of the free energy of the model during a carefully designed nonequilibrium process. The topological entropy (γ), which characterises long-range topological order, can be extracted by subtracting the short-range contribution, which is proportional to the length of the entanglement boundary (l) from the total entanglement entropy(S), by fitting the data of entanglement entropy of different entanglement boundary length to a straight line (S=al-γ).
As shown in Figure 3, the team conducted the experiment on two kinds of lattices with different ratios of length and width to ensure the reliability of the results. We use a straight line to fit the relation between the entanglement entropy with the length of the entanglement boundary so that the topological entropy should equal the intercept of the straight line. Our results give the value of topological entropy to be 1.4(2), which is consistent with the predicted value of topological entropy of a Z2 quantum spin liquid, which is 2ln (2). Our findings confirm the existence of QSLs from a numerical perspective.
About the research team
This research is a collaborative effort between the three authors—Mr Jiarui Zhao, Dr Bin-Bin Chen, and Dr Zheng Yan from HKU Department of Physics, under the supervision of Dr Zi Yang Meng from the same affiliation.
The work was supported by the Research Grants Council of HKSAR, the Areas of Excellence ‘2D Materials Research: Fundamentals Towards Emerging Technologies’, the Seed Funding Quantum-Inspired explainable-AI at the HKU-TCL Joint Research Centre for Artificial Intelligence. We thank the Information Technology Services and the HPC2021 supercomputer in HKU, and the National Supercomputer Centre in Guangzhou (Tianhe-II supercomputer) for their technical support and for providing generous HPC resources that have contributed to the research results reported within this paper.
The journal paper can be accessed here: https://www.nature.com/articles/s41535-022-00476-0
Images download and captions: https://www.scifac.hku.hk/press
For media enquiries, please contact Ms Casey To, External Relations Officer (Tel: 3917-4948; email: caseyto@hku.hk) and Ms Cindy Chan, Assistant Communications Director of Faculty of Science (Tel: 3917-5286; email: cindycst@hku.hk).